samch.inkaradigital.com
Address
Dr. K. S. Sharma Campus
Email
sanjeeviniamch@gmail.com
Phone Number
836-3531302
Home
About Us
About Us
Management
Chief Administrative Officer
Departments
Affiliated University (RGUHS)
Gallery
NCISM Mandatory Disclosure
Principal & Medical Superintendent
Details of Approval
Details Teaching Staff
Specialties of Hospital
Details of Non-Teaching Staff
Hospital Staff
List of Students Admitted
University Examination Results
Research Publication
Continuing Medical Education (CME) & Other Activities
Details of Sanctioned Intake
Detail of Any Award/Achievement
Monthly Analysis OPD& IPD
Infrastructure & Quality Standards
Details of Clinical Material
Details of Aff University
Events & Blogs
Time Table
All Committee
Greviance Redressel Committee Cell
Academic Committee Cell
Career Guidance Cell
Co-Curricular and Extra-Curricular Activity
Human Resource Dev. Cell
Research Innovation
Sexual Harreshment Cell
Student Council Committee
I Q A Cell
Anti Ragging
College Council
Monthly Attendance Analysis
Teaching Staff Attendance
Non-Teaching Staff Attendance
Hospital Staff Attendance
Students Attendance
Official Linked Websites
More
Management Committee
Gallery
Departments
Facilities
CONTACT US
List of Students Admitted
S
t
u
d
e
n
t
A
d
m
i
s
s
i
o
n
L
i
s
t
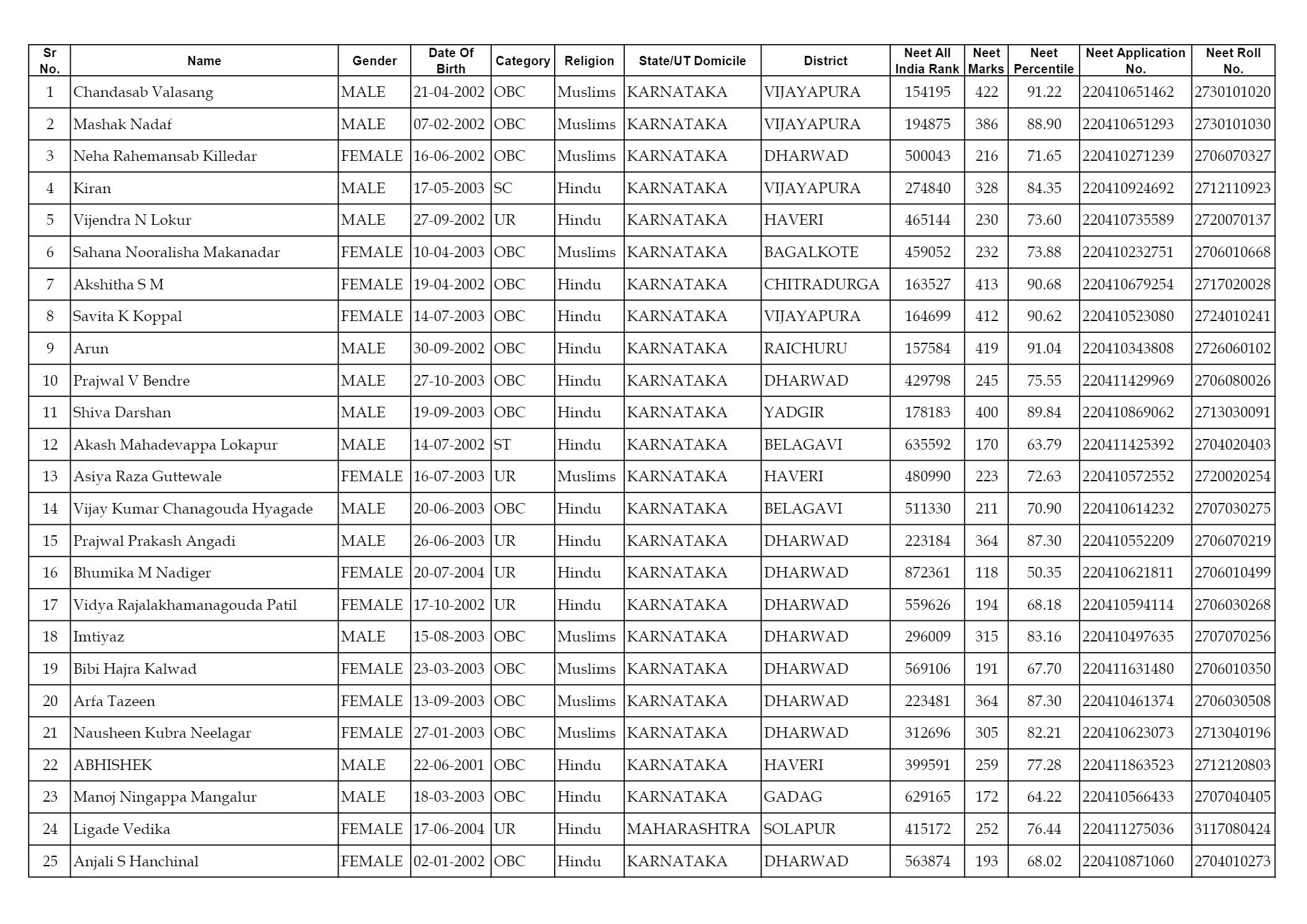
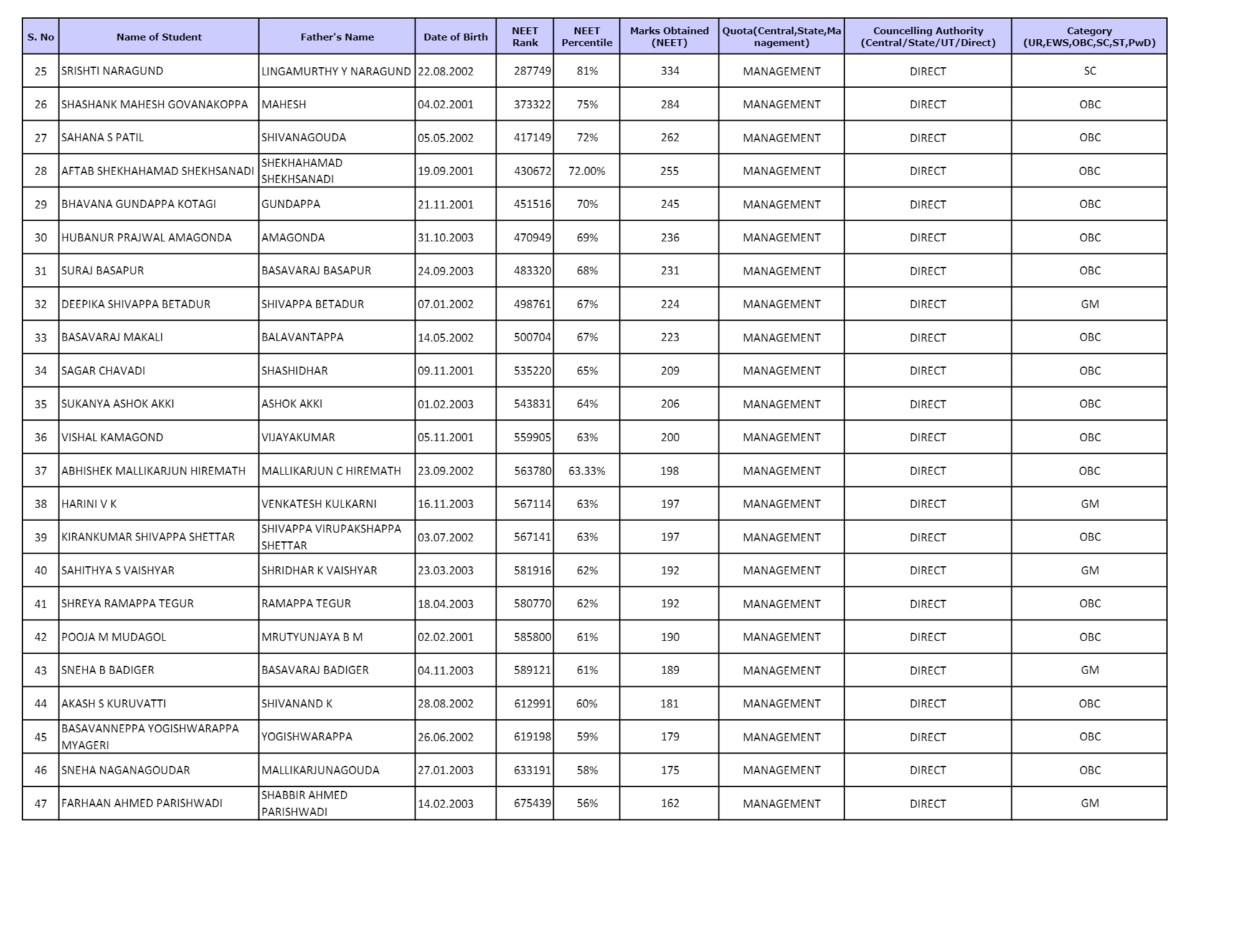
List of Students Admitted (2025–2026 Batch)
S
t
u
d
e
n
t
A
d
m
i
s
s
i
o
n
L
i
s
t
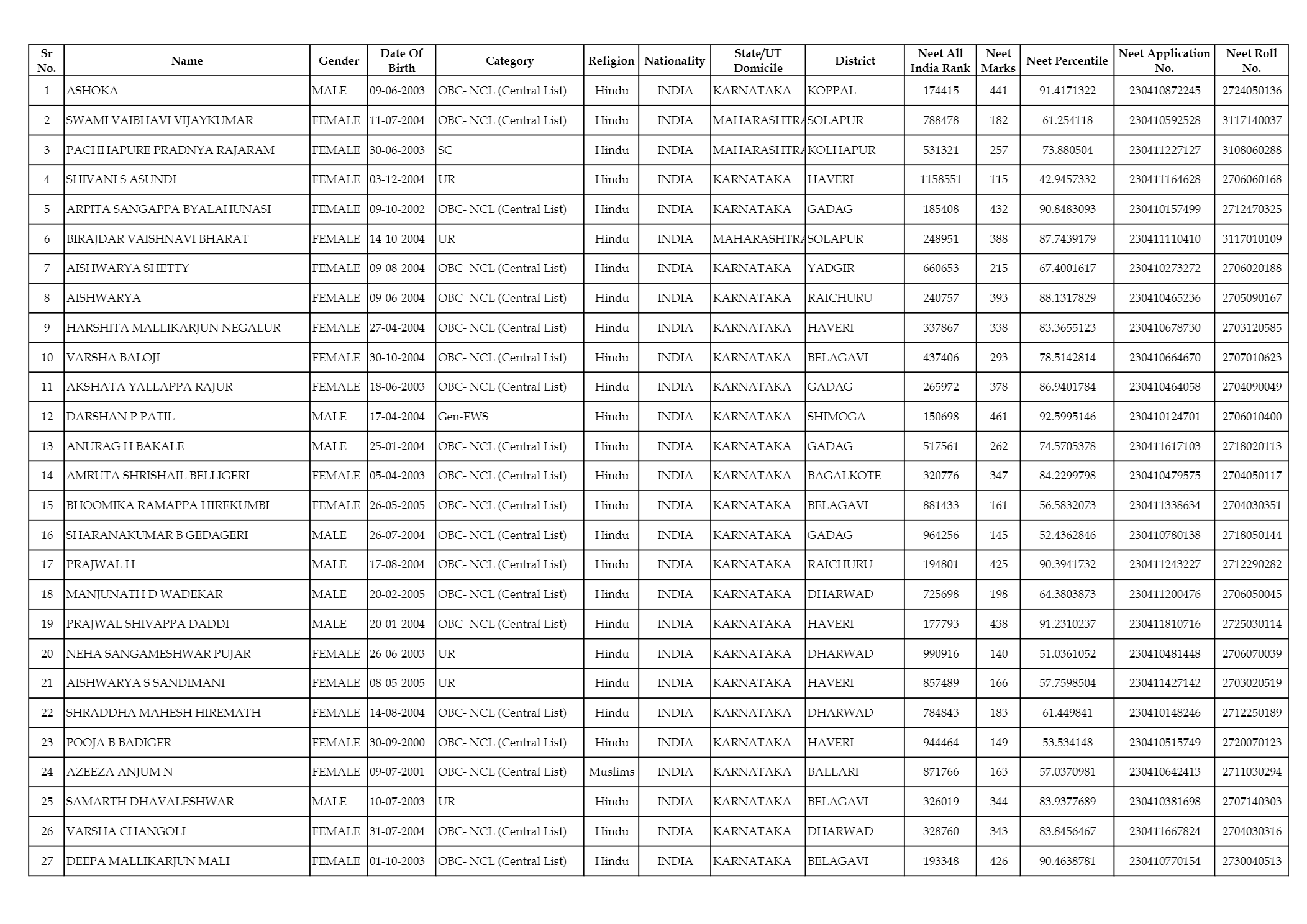
List of Students Admitted (2024–2025 Batch)
S
t
u
d
e
n
t
A
d
m
i
s
s
i
o
n
L
i
s
t
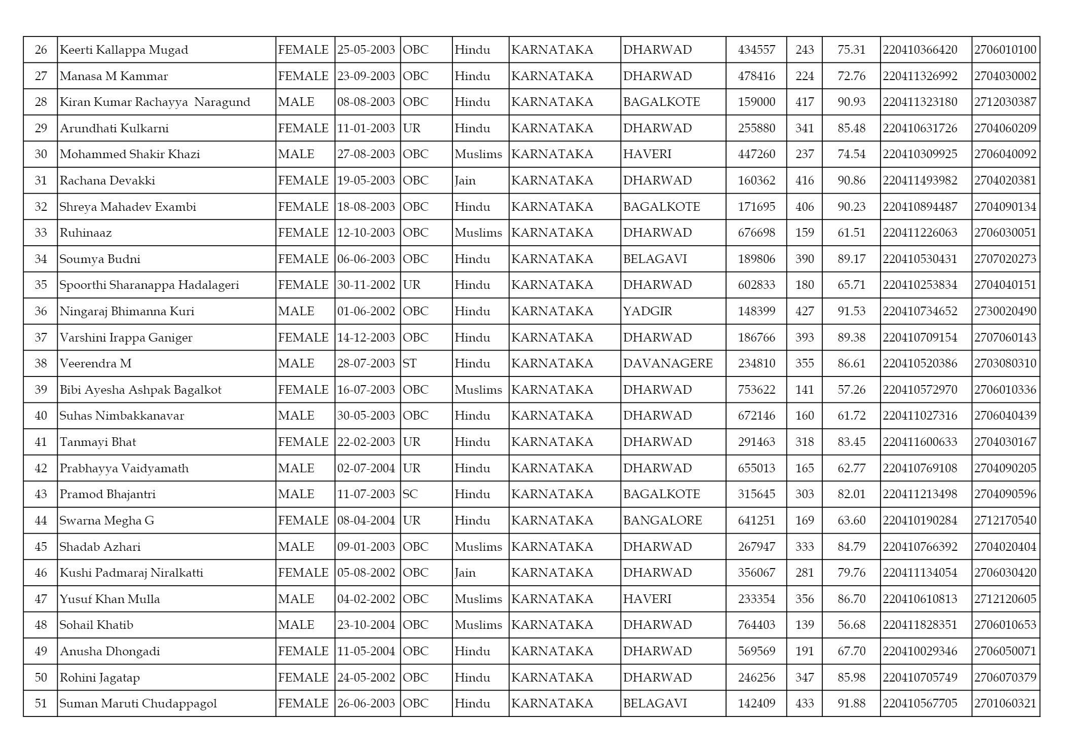
List of Students Admitted (2023–2024 Batch)
S
t
u
d
e
n
t
A
d
m
i
s
s
i
o
n
L
i
s
t
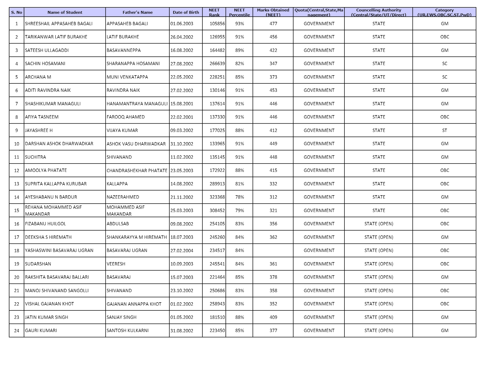
List of Students Admitted (2022–2023 Batch)
S
t
u
d
e
n
t
A
d
m
i
s
s
i
o
n
L
i
s
t
List of Students Admitted (2021–2022 Batch)
S
t
u
d
e
n
t
A
d
m
i
s
s
i
o
n
L
i
s
t
List of Students Admitted (2020–2021 Batch)
S
t
u
d
e
n
t
A
d
m
i
s
s
i
o
n
L
i
s
t
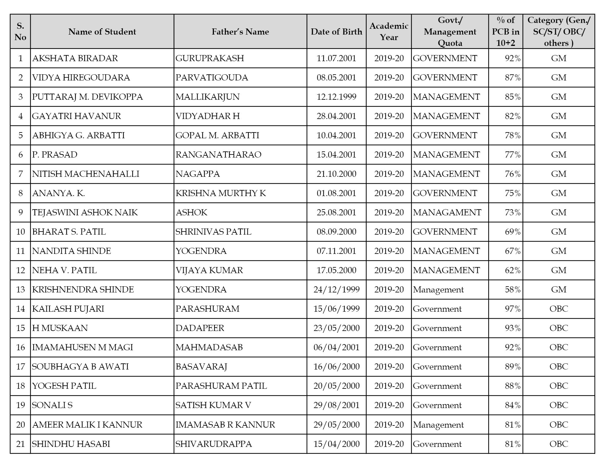
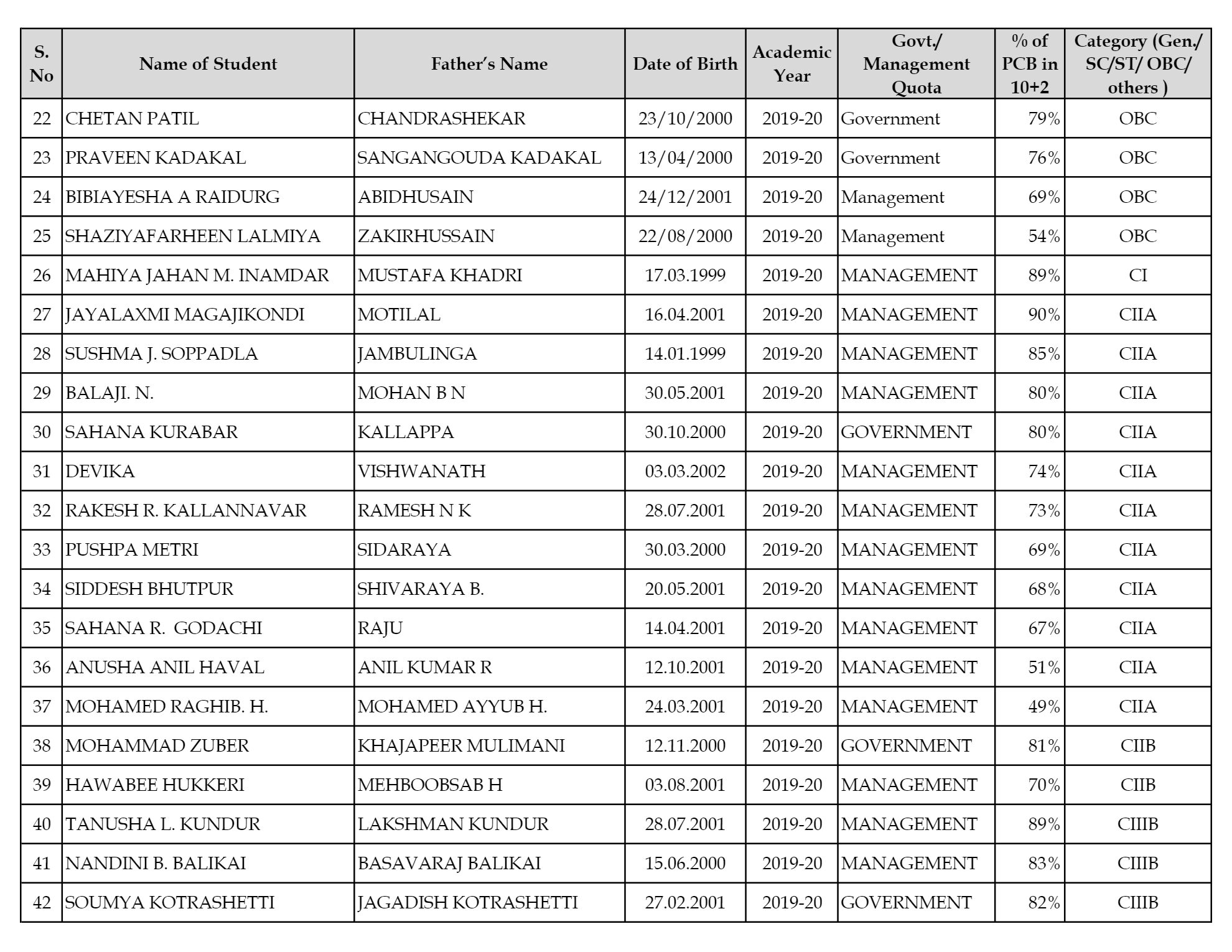
List of Students Admitted (2019–2020 Batch)
CLOSE